Lompat ke konten Lompat ke sidebar Lompat ke footer

Kumpulan Soal Keamanan Jaringan Kelas 12 / Contoh Soal Keamanan Jaringan Kelas Xii Semester 1 Pdf : Semoga bisa bermanfaat ya buat kalian.

Soal pendalaman materi esai dan skala sikap kelas xii bab 2. Globalisasi dan perubahan komunitas lokal (kurikulum 2013) di sini 6. A).netmask 255.0.0.0 merupakan netmask kelas a yang dapat menampung 16.777.216 host. Soal k3lh dan kunci jawaban nama: Perubahan sosial dan dampaknya (kurikulum 2013) di sini 7.

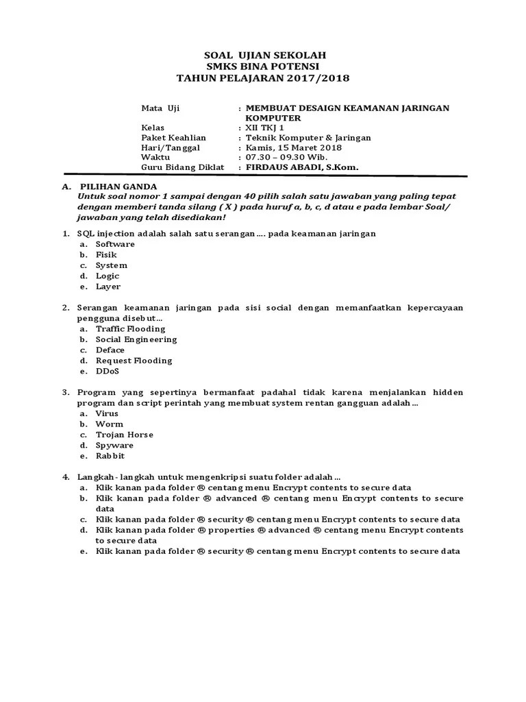
02.11.2021 · demikianlah ulasan yang mengenai kumpulan soal olimpiade ipa sd dan kunci jawabannya. Ahdan Bayu Kusuma Yudha Soal Keamanan Jaringan Tkj Pdfcoffee Com
Ahdan Bayu Kusuma Yudha Soal Keamanan Jaringan Tkj Pdfcoffee Com from pdfcoffee.com
Teknologi assymetric digital subscriber lines (adsl) mampu menghasilkan … Ia akan mengangkat sembah di hadapannya berdiri sela baginda, sebuah tugu batu berpahat dengan prasasti peninggalan sri airlangga. Teknologi modem voice konvensional (sistem narowband) mempunyai kecepatan sebesar. Soal k3lh dan kunci jawaban nama: Perubahan sosial dan dampaknya (kurikulum 2013) di sini 7. 02.03.2021 · soal bahasa indonesia kelas 12 dan kunci jawaban 1. A).netmask 255.0.0.0 merupakan netmask kelas a yang dapat menampung 16.777.216 host. Soal pendalaman materi pilihan ganda kelas xii bab 1.

A).netmask 255.0.0.0 merupakan netmask kelas a yang dapat menampung 16.777.216 host.

Perubahan sosial dan dampaknya (kurikulum 2013) di sini 7. Dan bila orang mendarat dari pelayanan entah dari jauh entahlah dekat, ia akan berhenti di suatu tempat beberapa puluh langkah dari dermaga. 02.11.2021 · demikianlah ulasan yang mengenai kumpulan soal olimpiade ipa sd dan kunci jawabannya. Soal pendalaman materi esai dan skala sikap kelas xii bab 2. 02.03.2021 · soal bahasa indonesia kelas 12 dan kunci jawaban 1. Teknologi modem voice konvensional (sistem narowband) mempunyai kecepatan sebesar. Soal k3lh dan kunci jawaban nama: 04.05.2017 · kumpulan soal dan jawaban smk teknik komputer dan jaringan. 10.10.2019 · kali ini kami bakalan kasih kalian cntoh soal tentang subscriber internet telepon untuk kelas 12 tkj. Globalisasi dan perubahan komunitas lokal (kurikulum 2013) di sini 6. Nilai wildcard mask dari 255.255.255.248 adalah … Dengan adanya soal latihan ini semoga bisa sebagai bahan pembelajaran dan latihan sebelum menghadapi ujian. Ia akan mengangkat sembah di hadapannya berdiri sela baginda, sebuah tugu batu berpahat dengan prasasti peninggalan sri airlangga.

Kali ini kami akan membagikan beberapa soal tentang materi teknologi layanan jaringan kelas xii tkj yang meliputi penerapan dan pemahaman konfigurasi ekstensi dan dial plan server softswitch, dan juga fungsi firewall pada jaringan voip !!! Kumpulan soal beserta jawabannya jaringan dasar smk kelas x semester 1 (lengkap) Ia akan mengangkat sembah di hadapannya berdiri sela baginda, sebuah tugu batu berpahat dengan prasasti peninggalan sri airlangga. A).netmask 255.0.0.0 merupakan netmask kelas a yang dapat menampung 16.777.216 host. Soal pendalaman materi esai dan skala sikap kelas xii bab 2.

10.10.2019 · kali ini kami bakalan kasih kalian cntoh soal tentang subscriber internet telepon untuk kelas 12 tkj. Soal Essay Administrasi Infrastruktur Jaringan Kelas 11 Semester 2
Soal Essay Administrasi Infrastruktur Jaringan Kelas 11 Semester 2 from ycnex.online
Dengan adanya soal latihan ini semoga bisa sebagai bahan pembelajaran dan latihan sebelum menghadapi ujian. Contoh soal psikotes beserta kunci jawaban dan pembahasannya; 02.11.2021 · demikianlah ulasan yang mengenai kumpulan soal olimpiade ipa sd dan kunci jawabannya. Globalisasi dan perubahan komunitas lokal (kurikulum 2013) di sini 6. A).netmask 255.0.0.0 merupakan netmask kelas a yang dapat menampung 16.777.216 host. 04.05.2017 · kumpulan soal dan jawaban smk teknik komputer dan jaringan. Soal k3lh dan kunci jawaban nama: Dengan adanya soal latihan ini semoga bisa sebagai bahan pembelajaran dan latihan sebelum menghadapi ujian.

Salah satu tujuan awal dibentuknya standard keselamatan dan kesehatan di tempat kerja adalah.

10.10.2019 · kali ini kami bakalan kasih kalian cntoh soal tentang subscriber internet telepon untuk kelas 12 tkj. Dengan adanya soal latihan ini semoga bisa sebagai bahan pembelajaran dan latihan sebelum menghadapi ujian. 04.05.2017 · kumpulan soal dan jawaban smk teknik komputer dan jaringan. Dan bila orang mendarat dari pelayanan entah dari jauh entahlah dekat, ia akan berhenti di suatu tempat beberapa puluh langkah dari dermaga. Kumpulan soal beserta jawabannya jaringan dasar smk kelas x semester 1 (lengkap) Soal pendalaman materi esai dan skala sikap kelas xii bab 2. 14.10.2019 · kumpulan soal teknologi layanan jaringan kelas xii tkj oktober 14, 2019 hayy gaesss bertemu lagi di blog kami. Bila ia meneruskan langkahnya, … Nilai wildcard mask dari 255.255.255.248 adalah … Soal pendalaman materi pilihan ganda kelas xii bab 1. Ia akan mengangkat sembah di hadapannya berdiri sela baginda, sebuah tugu batu berpahat dengan prasasti peninggalan sri airlangga. Kali ini kami akan membagikan beberapa soal tentang materi teknologi layanan jaringan kelas xii tkj yang meliputi penerapan dan pemahaman konfigurasi ekstensi dan dial plan server softswitch, dan juga fungsi firewall pada jaringan voip !!! Teknologi assymetric digital subscriber lines (adsl) mampu menghasilkan …

Contoh soal psikotes beserta kunci jawaban dan pembahasannya; Kali ini kami akan membagikan beberapa soal tentang materi teknologi layanan jaringan kelas xii tkj yang meliputi penerapan dan pemahaman konfigurasi ekstensi dan dial plan server softswitch, dan juga fungsi firewall pada jaringan voip !!! Kumpulan soal beserta jawabannya jaringan dasar smk kelas x semester 1 (lengkap) 14.10.2019 · kumpulan soal teknologi layanan jaringan kelas xii tkj oktober 14, 2019 hayy gaesss bertemu lagi di blog kami. Dengan adanya soal latihan ini semoga bisa sebagai bahan pembelajaran dan latihan sebelum menghadapi ujian.

10.10.2019 · kali ini kami bakalan kasih kalian cntoh soal tentang subscriber internet telepon untuk kelas 12 tkj. Contoh Soal Pas Tlj Kelas 12 Smk 2021 Dan Jawabannya Online
Contoh Soal Pas Tlj Kelas 12 Smk 2021 Dan Jawabannya Online from blogger.googleusercontent.com
16.11.2017 · soal pendalaman materi pilihan ganda kelas xii bab 2. Soal pendalaman materi pilihan ganda kelas xii bab 1. Dan bila orang mendarat dari pelayanan entah dari jauh entahlah dekat, ia akan berhenti di suatu tempat beberapa puluh langkah dari dermaga. Teknologi assymetric digital subscriber lines (adsl) mampu menghasilkan … Globalisasi dan perubahan komunitas lokal (kurikulum 2013) di sini 6. Soal keamana jaringan ini meliputi ssl dan tls, keamanan email, wireless security, disaster recovery planning (drp). 02.03.2021 · soal bahasa indonesia kelas 12 dan kunci jawaban 1. 04.05.2017 · kumpulan soal dan jawaban smk teknik komputer dan jaringan.

Untuk informasi lainnya kunjungi terus www.ayoksinau.com baca juga ulasan lainnya :

Kumpulan soal beserta jawabannya jaringan dasar smk kelas x semester 1 (lengkap) 10.10.2019 · kali ini kami bakalan kasih kalian cntoh soal tentang subscriber internet telepon untuk kelas 12 tkj. Globalisasi dan perubahan komunitas lokal (kurikulum 2013) di sini 6. 02.11.2021 · demikianlah ulasan yang mengenai kumpulan soal olimpiade ipa sd dan kunci jawabannya. Semoga bisa bermanfaat ya buat kalian. Soal k3lh dan kunci jawaban nama: Soal pendalaman materi esai dan skala sikap kelas xii bab 2. Untuk informasi lainnya kunjungi terus www.ayoksinau.com baca juga ulasan lainnya : Nilai wildcard mask dari 255.255.255.248 adalah … 14.10.2019 · kumpulan soal teknologi layanan jaringan kelas xii tkj oktober 14, 2019 hayy gaesss bertemu lagi di blog kami. Kali ini kami akan membagikan beberapa soal tentang materi teknologi layanan jaringan kelas xii tkj yang meliputi penerapan dan pemahaman konfigurasi ekstensi dan dial plan server softswitch, dan juga fungsi firewall pada jaringan voip !!! Teknologi assymetric digital subscriber lines (adsl) mampu menghasilkan … 02.03.2021 · soal bahasa indonesia kelas 12 dan kunci jawaban 1.

Kumpulan Soal Keamanan Jaringan Kelas 12 / Contoh Soal Keamanan Jaringan Kelas Xii Semester 1 Pdf : Semoga bisa bermanfaat ya buat kalian.. 16.11.2017 · soal pendalaman materi pilihan ganda kelas xii bab 2. Teknologi assymetric digital subscriber lines (adsl) mampu menghasilkan … Kali ini kami akan membagikan beberapa soal tentang materi teknologi layanan jaringan kelas xii tkj yang meliputi penerapan dan pemahaman konfigurasi ekstensi dan dial plan server softswitch, dan juga fungsi firewall pada jaringan voip !!! 02.03.2021 · soal bahasa indonesia kelas 12 dan kunci jawaban 1. 14.10.2019 · kumpulan soal teknologi layanan jaringan kelas xii tkj oktober 14, 2019 hayy gaesss bertemu lagi di blog kami.

Posting Komentar untuk "Kumpulan Soal Keamanan Jaringan Kelas 12 / Contoh Soal Keamanan Jaringan Kelas Xii Semester 1 Pdf : Semoga bisa bermanfaat ya buat kalian."